✨Sách - Định Hướng Phát Triển Năng Lực Toán 8 - Tập 1 (Bám Sát SGK Kết Nối Tri Thức Với Cuộc Sống)

Cuốn sách “Định hướng phát triển năng lực Toán 8 – Tập một” bám sát sách giáo khoa Toán lớp 8 – Tập một, bộ sách giáo khoa Kết nối tri thức với cuộc sống, nhằm giúp các em học sinh lớp 8 có một tài li...

mua sản phẩm tại ShopeeMua tại Shopeemua sản phẩm tại TikiMua tại Tikimua sản phẩm tại LazadaMua tại Lazadamua sản phẩm tại TiktokMua tại Tiktok
Sách - Định Hướng Phát Triển Năng Lực Toán 8 - Tập 1 (Bám Sát SGK Kết Nối Tri Thức Với Cuộc Sống)Sách - Định Hướng Phát Triển Năng Lực Toán 8 - Tập 1 (Bám Sát SGK Kết Nối Tri Thức Với Cuộc Sống)Sách - Định Hướng Phát Triển Năng Lực Toán 8 - Tập 1 (Bám Sát SGK Kết Nối Tri Thức Với Cuộc Sống)Sách - Định Hướng Phát Triển Năng Lực Toán 8 - Tập 1 (Bám Sát SGK Kết Nối Tri Thức Với Cuộc Sống)

Cuốn sách “Định hướng phát triển năng lực Toán 8 – Tập một” bám sát sách giáo khoa Toán lớp 8 – Tập một, bộ sách giáo khoa Kết nối tri thức với cuộc sống, nhằm giúp các em học sinh lớp 8 có một tài liệu để học tốt môn Toán lớp 8. Mỗi bài học được thiết kế bao gồm phần tóm tắt kiến thức cần nhớ, bài tập cơ bản và bài tập mở rộng. Cuối mỗi bài là hướng dẫn giải cho các bài tập cơ bản và bài tập mở rộng. Việc tự giải các bài toán theo cấu trúc này sẽ giúp các em học sinh phát triển năng lực tư duy Toán học.

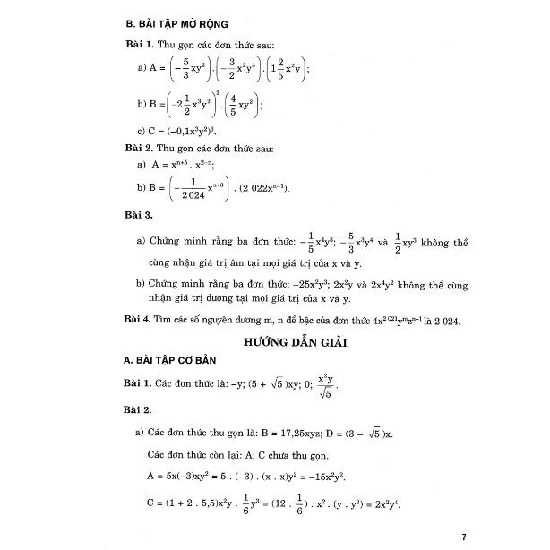
Phần tóm tắt kiến thức cần nhớ Bài tập cơ bản và bài tập mở rộng Hướng dẫn giải cho các bài tập

=========================================

NXB : NXB Đại Học Sư Phạm Nhà phát hành : Học liệu Tác giả : Nhiều tác giả Bìa : Mềm Trang : 120 Năm : 2023

mua sản phẩm tại ShopeeMua tại Shopeemua sản phẩm tại TikiMua tại Tikimua sản phẩm tại LazadaMua tại Lazadamua sản phẩm tại TiktokMua tại Tiktok
Mục lục: Chương I: Những vấn đề cơ bản Chương II: Gậy sắt Chương III: Phát bóng Chương IV: Pitching Chương V: Chipping Chương VI: Hố cát Chương VII: Putting Phụ lục: Thông tin về
 Mô tả chi tiết sản phẩm  "Học vì chính mình, không phải vì ai khác" là cuốn sách truyền cảm hứng mạnh mẽ, giúp bạn hiểu rằng học tập không chỉ để làm hài lòng cha
Kỹ Năng Học Tập Thành Công Ở Bậc Cao Đẳng, Đại Học Tập 1 Quản lý bản thân tối ưu Cuốn sách chia sẻ về những kỹ năng cơ bản giúp sinh viên phát triển
KHÔNG BIẾT TÔI LÀ AI HẢ? - CÁCH GIỮ TỈNH TÁO TRONG THỜI ĐẠI CỦA TÍNH ÁI KỶ, KỲ VỌNG THÁI QUÁ VỀ ĐẶC QUYỀN VÀ THÁI ĐỘ KHIẾM NHÃ - ẤN BẢN 2025 Ấn
Mô tả sản phẩm Sách - Kết hợp giáo dục steam và giáo dục cảm xúc xã hội sel dành cho tiểu học và mầm non + Ha Cuốn sách này là kết quả của
Trong cuốn sách này, tác giả đã đưa ra những cách giải bài tập độc đáo và ngắn gọn nhất, giúp học sinh dễ dàng hiểu được kiến thức trọng tâm và làm tốt các
Công ty Học Liệu Sư Phạm giới thiệu: Tác giả: Khái Hưng Giá bìa: 135.000 ₫ NXB: NXB Văn Học Phát hành: Học liệu Năm xuất bản: 2022(ISBN: 9786049991233)(Mã sách: 8935236429405) Dạng bìa: bìa mềm
Giới thiệu sách:     Chương 1: Lãnh thổ Việt Nam và lịch sử phát triển    Chương 2: Địa hình Việt Nam    Chương 3: Khí hậu Viêt Nam    Chương 4: Thuỷ sản Việt
EM HỌC LẬP TRÌNH SCRATCH   Tác giả: Matthew Highland Người dịch: 1980Edu THÔNG TIN XUẤT BẢN: Kích thước khổ: 19,5 x 23 Số trang: 156 Mã EAN: 893 6066 69 3677 NXB liên kết:
PRE-ORDER - HÀNG ĐẶT TRƯỚC DỰ KIẾN HÀNG VỀ: 10/10/2025 Trí tuệ nhân tạo (AI) đang làm thay đổi mọi lĩnh vực và giáo dục cũng không ngoại lệ. Nhưng AI không đến để thay
Tác giả: Jane Nelsen, Edd, Lynn Lott, MA, MFT, H Stephen Glenn Người Dịch: Mai NXB: NXB Công Thương Năm XB: 2021 Trọng lượng (gr): 400 Kích Thước Bao Bì: 20.5 x 13 cm Số
Danh dữ thân thục thân? Thân dữ hóa thục đa? Đắc dữ vong thục bệnh? - (Chương 44) Danh tiếng so với sinh mạng, cái nào quý hơn? Sinh mạng so với tài sản, cái
Học liệu sư phạm giới thiệu: Công ty phát hành: Học liệu sư phạm Tác giả Hiromi Shinya Kích thước 14.5 x 20.5 cm Nhà xuất bản Nhà Xuất Bản Thế Giới Loại bìa Bìa
"Công ty phát hành: Thái Hà Tác giả: Nhiều tác giả Nhà xuất bản: Lao Động Năm xuất bản: 2019 Số trang: 272 Giới thiệu sách: Hầu hết các cha mẹ luôn gặp khó khăn
Công ty Học Liệu Sư Phạm giới thiệu: Nội dung gồm có: Phần thứ nhất. Hệ thống kiến thức trong sách Ngữ văn 6, tập 2 Phần thứ hai. Bài tập phát triển năng lực
Tên Nhà Cung Cấp NXB Phụ Nữ Việt Nam Tác giả Phong Ảnh NXB NXB Phụ Nữ Việt Nam Năm XB 2023 Trọng lượng (gr) 300 Kích Thước Bao Bì 14 x 21 cm Số
Phần 1: Bài tập Chủ đề 1: Tôi và các bạn Chủ đề 2: Gõ cửa trái tim Chủ đề 3: Yêu thương và chia sẻ Chủ đề 4: Quê hương yêu dấu Chủ đề
1 : Sách - Phiếu Ôn Luyện Cuối Tuần Tiếng Việt lớp 1 tập 1 (Cánh Diều) Sách là tài liệu cung cấp các đề kiểm tra giúp giáo viên, phụ huynh đánh giá được
Triết Lý Từ Những Điều Tầm Thường - Rani Shah *Thông tin sách: Tác giả: Rani Shah Người dịch: Thu An Minh họa:Gemma Corell Thể loại: Kỹ năng sống Khổ: 13x20cm Số trang: 168 trang
Thiên Tài Và Sự Giáo Dục Từ Sớm  Việc khó nhất của việc làm cha mẹ đó chính là giáo dục con cái như thế nào là tốt nhất. Mỗi gia đình, mỗi phụ huynh
Để Con Bạn Giỏi Như Einstein  “Để con bạn giỏi như Einstein” được xem là “Quyển sách này chẳng khác gì làn gió mới đối với những bậc phụ huynh và các nhà giáo dục.”
GS. Huỳnh Như Phương là nhà giáo chuyên giảng dạy lý thuyết văn học, đồng thời là tác giả của nhiều công trình nghiên cứu, phê bình văn học. Với tư cách một nhà giáo
Tác giả: Nhiều tác giả Ngày xuất bản: 8/12/2021 Nhà xuất bản: Đại học Sư phạm Số trang: 216 trang Loại bìa: Bìa mềm
Công ty Học Liệu Sư Phạm giới thiệu: Chương IV. THỐNG KÊ VÀ XÁC SUẤT §1. Thu thập, tổ chức, biểu diễn, phân tích và xử lí dữ liệu §2. Biểu đồ cột kép §3.
Nhằm đáp ứng nhu cầu tự luyện tập, củng cố kiến thức và nâng cao kĩ năng học toán, chúng tôi trân trọng giới thiệu cùng bạn đọc cuốn sách Rèn kĩ năng học tốt
Tác giả: Patty McCord Khổ sách: 13x20.5cm Số trang: 222 Giá bán: 80,000 VNĐ ISBN: 978-604-1-17406-1 In lần thứ 1 năm 2020 NXB: NXB Trẻ NPH: NXB Trẻ Giới thiệu tác phẩm: Cách Netflix xây
Sổ Giấy Lò Xo Take Note Ngữ Văn 6 Kết nối Tri thức cỡ A5 (Phiên Bản Mới Nhất) A- THÔNG TIN VÀ THÔNG SỐ KỸ THUẬT SẢN PHẨM 1. Loại sổ: Gáy xoắn 2.
Sổ Giấy Lò Xo Take Note Văn 7 bộ Cánh Diều cỡ A5 (Phiên Bản Mới Nhất) A- THÔNG TIN VÀ THÔNG SỐ KỸ THUẬT SẢN PHẨM 1. Loại sổ: Gáy xoắn 2. Số trang:
Sổ Giấy Lò Xo Take Note Toán 2 - 3 cỡ A5 (Phiên Bản Mới Nhất) A- THÔNG TIN VÀ THÔNG SỐ KỸ THUẬT SẢN PHẨM 1. Loại sổ: Gáy xoắn 2. Số trang: 34
Mô tả sản phẩm Tâm hồn con trẻ được nuôi lớn trong những câu hát ru của bà, của mẹ. Bên cạnh đó, những câu chuyện cổ như suối nguồn yêu thương mang những bài
Công ty Học Liệu Sư Phạm giới thiệu: Sách - Bồi dưỡng học sinh giỏi Tiếng Việt ở Tiểu học - NXB Đại học Sư Phạm Tác giả: Lê Phương Nga Nhà xuất bản: NXB
Sách đã phát hành. Mình kịp gửi các bạn dịp khai giảng 5.9 và 20.11 Tôi trích lục bài giới thiệu của anh Nguyễn Quốc Vương - người viết lời giới thiệu sách. “Đối với
Pháp môn hạnh phúc – Tinh thần (Tặng kèm Postcard bốn mùa ngẫu nhiên) Tác giả: Đại sư Tinh Vân Số trang: 265 trang Khổ: 13 x 19 cm Nhà xuất bản: Lao Động Ngày
Công ty Học Liệu Sư Phạm giới thiệu: Nhằm đáp ứng nhu cầu có một tài liệu tham khảo giúp các em học sinh lớp 2 phát triển năng lực môn Toán. Vở bài tập
Nhà xuất bản: NXB Đại Học Sư Phạm Tác giả: Nhiều Tác Giả Loại bìa: Bìa Mềm Số trang: 100 Năm xuất bản: 2024     MÔ TẢ SẢN PHẨM: Bộ sách Cánh Diều là
Cuốn sách được chính bản thân mình sưu tầm và tổng hợp một cách đầy đủ từ những kiến thức cơ bản đến chuyên sâu về số học, cùng với đó là đa dạng các
Trong thời đại nhiều biến động, khi áp lực công việc rất dễ dẫn đến kiệt sức, quyển sách Đi Tìm Vùng Tối Ưu đã chỉ ra con đường bền vững hơn: vận dụng trí
7 Bài Học Rưỡi Về Não Bộ Tác giả: Lisa Feldman Barrett Cuốn sách “7 Bài Học Rưỡi Về Não Bộ” của tác giả Lisa Feldman Barrett mang đến những khám phá thú vị và dễ
Một cuốn sách dành cho giáo viên, lãnh đạo cấp trung và lãnh đạo cấp cao đang đứng trước cơ hội làm hiệu trưởng trường học. Mỗi giáo viên đều là người lãnh đạo việc
Một cuốn sách dành cho giáo viên, lãnh đạo cấp trung và lãnh đạo cấp cao đang đứng trước cơ hội làm hiệu trưởng trường học. Mỗi giáo viên đều là người lãnh đạo việc
Sách nền tảng toán lớp 12 cho 2k8 Ôn thi tốt nghiệp phổ thông - Đánh giá năng lực - MoonBook - Hệ thống kiến thức và video bài giảng theo chương trình SGK mới
Qua bộ sách Teen girl học toán, nhà toán học Danica McKellar (đồng thời cũng là một ngôi sao điện ảnh) đã làm thay đổi 180 độ định nghĩa thường thấy về “mọt sách” và chỉ
Kỷ Luật Mềm Trong Gia Đình - Giáo Dục Trẻ 3 - 10 Tuổi Dành Cho Gia Đình Việt   Nếu ví như năng lực của một đứa trẻ là chiếc cốc, còn kiến thức
============giới thiệu sách ============ Cuốn sách biên soạn dựa trên sách giáo khoa thí điểm của Bộ Giáo Dục và Đào Tạo. Sách tập trung vào việc rèn luyện các kỹ năng cơ bản như
Công ty Học Liệu Sư Phạm giới thiệu: English Grammar in use - 130 bài ngữ pháp tiếng Anh Cuốn sách “English Grammar in use - 130 bài ngữ pháp tiếng Anh ” – tác
Công ty Học Liệu Sư Phạm giới thiệu: Sách: Combo 3 Cuốn Sổ Tay Kiến Thức Toán  + Sổ Tay Kiến Thức Tiếng Việt + Sổ Tay Kiến Thức Tiếng Anh Tiểu Học 1. Sổ
Kiểm tra, đánh giá là một khâu quan trọng không thể thiếu trong quá trình dạy học. Kiểm tra, đánh giá giúp học sinh khắc phục những lối kiến thức chưa hoàn thành, từ đó
Cuốn sách "Hóa học nâng cao 10" được biên soạn dựa trên Chương trình giáo dục phổ thông năm 2018 - môn Hóa học, gồm 7 chương- * Chương 1. Cấu tạo nguyên tử •
Công ty Học Liệu Sư Phạm giới thiệu: 1. Em học giỏi tiếng Anh lớp 6-tập 1 Tác giả: Đại Lợi (chủ biên) - Nguyễn Thị Thu Huế (hiệu đính) Giá bìa: 79.000 ₫ NXB:
NỘI DUNG SÁCH Chương I. SỐ HỮU TỈ  Bài 1. Tập hợp các số hữu tỉ Bài 2. Cộng, trừ, nhân, chia số hữu tỉ Bài 3. Phép tính lũy thừa với số mũ tự nhiên
Công ty Học Liệu Sư Phạm giới thiệu: Bussinessbooks - Napoleon Hill Sức mạnh làm giàu kỳ diệu-Nghĩ giàu & Làm giàu Tác giả: Napoleon Hill Giá bìa: 150.000 ₫ NXB: NXB Dân Trí Phát
HỌC TẬP SUỐT ĐỜI (The Lifelong Leaner) - Peter Hollins - (bìa mềm) - Giá bìa: 209.000đ Học tập trọn đời hướng dẫn cách trở thành một người học tự lập, có khả năng tạo giáo trình
Sách - Học Tốt Ngữ Văn Lớp 6 - Biên soạn theo CT GDPT mới (Bộ sách Kết Nối) - ndbooks Các em học sinh lớp 6 yêu quý! Để giúp các em nắm vững
Công ty Học Liệu Sư Phạm giới thiệu: Câu Hỏi Trắc Nghiệm Chuyên Đề Điền Từ Vào Đoạn Văn Tiếng Anh Cuốn sách Câu Hỏi Trắc Nghiệm Chuyên Đề Điền Từ Vào Đoạn Văn Tiếng
Công ty Học Liệu Sư Phạm giới thiệu: Giới thiệu sách: Nội dung gồm có: Tập 1 Chương I. Số hữu tỉ Chương II. Số thực Chương III. Góc và các đường thẳng song song
Nội dung sách gồm 3 phần: - Thứ nhất, tóm tắt nội dung trong tâm của bài học một cách ngắn gọn, súc tích bằng các từ khóa, bảng biểu, sơ đồ. Các kiến thức
Công ty Học Liệu Sư Phạm giới thiệu: Sách - kế hoạch bài dạy ngữ văn 8 tập 2 ( bộ sách kết nối tri thức) Nội dung gồm có bài 1. câu chuyện của
Công ty Học Liệu Sư Phạm giới thiệu: 1.Khoa cúng tổng hợp Tác giả: Nhiều Tác giả Giá bìa: 50.000 ₫ NXB: NXB Hồng Đức Phát hành: Học liệu sư phạm Năm xuất bản: 2019
Công ty Học Liệu Sư Phạm giới thiệu: Việc nắm vững kiến thức lí thuyết và các kĩ thuật giải nhanh từng loại bài tập hóa học có ý nghĩa quyết định đến chất lượng
Học liệu sư phạm giới thiệu sản phẩm: "Kì thi Olympic 30 tháng 4 do Sở Giáo dục và Đào tạo, Trường Trung học Phổ thông Chuyên Lê Hồng Phong Thành Phố Hồ Chí Minh
Trang đầu 1 2 3 4 5 6 7 8 9 10 11 12 13 14 15 16 17 18 19 20 21 22 23 24 25 26 27 28 29 30 31 32 33 34 35 36 37 38 39 40 41 42 43 44 45 46 47 48 49 50 Trang cuối
👁️ 113 | ⌚2025-10-07 21:32:03.375
Mẹo để tăng trí nhớ, học thuộc nhanh, nhớ lâu cho các bạn đây #Shorts
ĐẠO CHÍCH OUT TRÌNH CHỦ NHÀ #Shorts
Ôn Tập Thống Kê, Xác Suất - Ôn Cuối Năm | I Bài tập phát triển năng lực Toán 5 Tuần 35 Phần 1
Tính Vận Tốc Tàu Cảnh Sát Biển -Bài Toán Thực Tế | Bài tập phát triển năng lực Toán 5 Tuần 35 Phần 2
Tập 72: Thử tài Toán học ✨♨️🥰 #shorts #shortvideo #fyp #maths #toanhoc #toanthaymanhhung #hschool
Chứng minh Định Lý Pytago bằng thí nghiệm thực tế | Bạn biết không #shorts

QC Shopee
4P's có nghĩa "For Peace" - cho Hòa Bình tràn ngập trên toàn thế giới. Tham vọng ở Pizza 4P's không chỉ đơn giản là "Một nhà hàng Pizza tuyệt vời" mà chúng tôi có
Le Monde Steak là hệ thống Bít Tết theo phong cách thành thị Pháp đầu tiên tại Việt Nam, nơi thực khách tự do trải nghiệm những món ăn mang hương vị Pháp đầy lôi
Sôi nổi, phóng khoáng, vui nhộn chính là tinh thần mà Yakimono – Quán thịt nướng Nhật Bản muốn mang đến cho bạn. Trái ngược với khung cảnh yên bình bên ngoài, chỉ cần đẩy
Hoa Yêu Thương là bông hoa được ghép từ nhiều trái tim với mong muốn kêu gọi mọi người hãy chia sẻ yêu thương nhiều hơn. Cuộc sống sẽ tốt hơn rất nhiều nếu chúng
Gyu-Kaku nhập thịt tươi và cắt từng lát một tại nhà hàng để đảm bảo độ tươi ngon. Nước tương và miso truyền thống Nhật Bản chúng tôi dùng cho sốt và ướp thịt kĩ
Hạn sử dụng: 2025-12-31 00:00:00 Potico là điện hoa chuyên cung cấp bó hoa yêu thương và quà tặng ý nghĩa hàng đầu tại Việt Nam. Potico luôn miễn phí giao hàng trong khu vực
Nếu bạn là người Hàn Quốc sinh sống hoặc làm việc xa nhà, bạn nên ghé qua Butoomac để cảm nhận hương vị quê hương. Đây là những nhà hàng rất nổi tiếng ở Hà
Ra mắt thương hiệu tại Hà Nội với cơ sở đầu tiên Hàng Bông vào năm 2016, hiện nay, Don Chicken đã có 14 cửa hàng tại Hà Nội, Quảng Ninh, Bắc Ninh, Thanh Hóa
MIYEN - Nét chấm phá Nhật Bản tinh tế đầy duy mỹ. Miyen Japanese Fusion Cuisine mong muốn đem đến cho Quý Thực khách trải nghiệm bầu không khí giao thời của một đất nước
Với phương châm: “Nơi ẩm thực Hồng Kông được tôn vinh và chăm chút. Chúng tôi mang đến quý khách sự trải nghiệm tuyệt đối từ vị giác đến văn hóa ẩm thực”. Baoz Dimsum
A Mà Kitchen - Stay Vietnam, Taste HongKong Trở về Hồng Kông 40 năm trước, A Mà - Bà Nội của một gia đình Trung Hoa là người luôn tận tụy chăm lo từng bữa
Thương hiệu bánh donut thơm ngon, và những ly cà phê đậm đà, mang đến không gian thân thiện để kết nối mọi người. CRISPY DONUTS luôn cập nhật hương vị mới, đảm bảo mỗi
Đến Hệ thống tiNiWorld, các bậc phụ huynh hoàn toàn có thể yên tâm vì con yêu của mình được bảo vệ an toàn nhất. Tất cả các thiết bị đồ chơi tại đây đều
BORNGA VIỆT NAM: Là chi nhánh thuộc thương hiệu và chuỗi hệ thống nhà hàng nổi tiếng toàn cầu Bornga, Bornga Việt Nam hân hạnh phục vụ những món ăn mang đậm nét truyền thống
Otoké Chicken tự hào là thương hiệu gà rán của Việt Nam - được đầu tư và quản lý bởi Quỹ đầu tư VI (VIGroup) – một công ty quản lý quỹ chuyên nghiệp, chuyên
Với sự ra đời của cửa hàng đầu tiên tại Việt Nam vào năm 2007, chuỗi cửa hàng TOUS les JOURS khẳng định vị trí dẫn đầu trong phân khúc cao cấp bánh và cà
Bạn đang lên kế hoạch cho một bữa tiệc ấm cúng, một buổi hẹn hò hay một buổi liên hoan cuối năm? Đừng bỏ lỡ voucher tiền mặt từ Ssamjang - Nướng & Cuốn Chợ
Shang Chi - Taiwanese Rotary Hotpot là con tàu trải nghiệm và khám phá thiên đường lẩu Đài Loan đầy màu sắc và đa dạng. Shang Chi cũng là sự giao thoa giữa yếu tố
Không gian rộng rãi và sạch sẽ, nhân viên thân thiện, nhiệt tình chắc chắn là điểm đến lý tưởng cho một cuộc hẹn tại Spicy Box. Đến với Spicy Box bạn sẽ được hóa