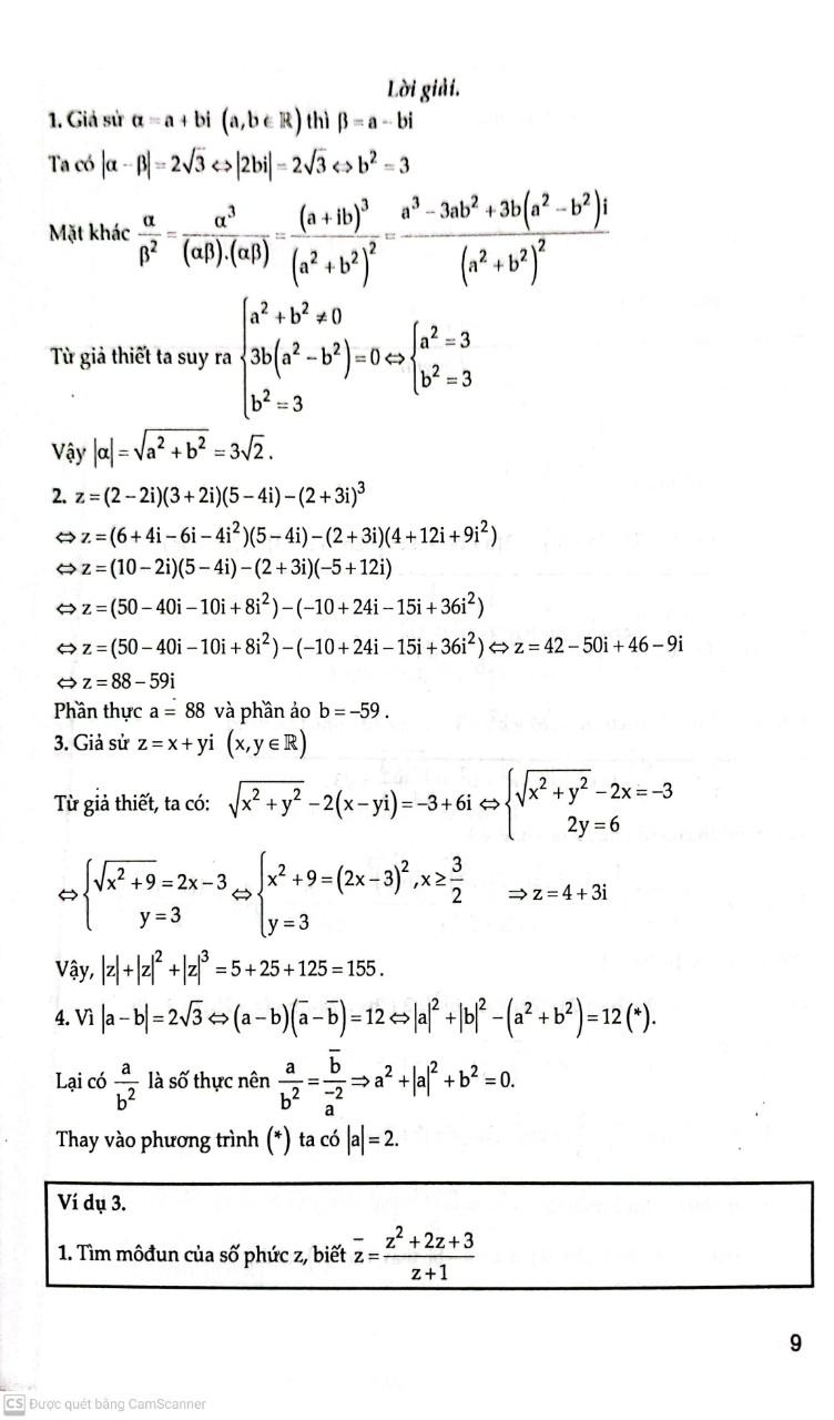
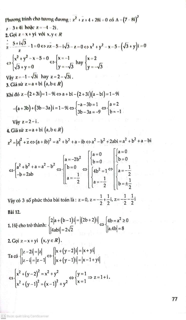
✨TRỌNG TÂM KIẾN THỨC VÀ PHƯƠNG PHÁP GIẢI TOÁN HÀM SỐ MŨ-LOGARIT-TÍCH PHÂN-ĐẠI SỐ TỔ HỢP-XÁC XUẤT-SỐ PHỨC
Mua tại Shopee
Mua tại Tiki
Mua tại Lazada
Mua tại TiktokCuốn sách Trọng Tâm Kiến Thức Và Phương Pháp Giải Toán Hàm Số Mũ-Logarit-Tích Phân-Đại Số Tổ Hợp-Xác Xuất-Số Phức do tác giả Nguyễn Phú Khánh biên soạn nhàm mang đến cho tất cả bạn đọc một nguồn tư liệu hữu ích cho quá trình ôn luyện, học tập môn toán.Cuốn sách với cách viết khoa học., sinh động giúp các bạn học sinh tiếp cận môn toán một cách tự nhiên, không áp lực , bạn đọc trở nên tự tin và năng động hơn, hiểu rõ bản chất, biết cách phân tích để tìm ra trọng tâm của vấn đề và biết giải thích, lập luận cho từng bài toán. Sự đa dạng của từng bài tập và tình huống giúp ban đọc hứng thú khi giải toán.
Mua tại Shopee
Mua tại Tiki
Mua tại Lazada
Mua tại TiktokGiáo trình Hoá học Vô cơ này đã được viết và giảng dạy từ những năm 50 của thế kỷ trước cho sinh viên khoa Hoa học trường Đại học Tổng hợp Hà Nội trước
1 Dẫn Chứng Nghị Luận Xã Hội NỘI DUNG SÁCH 1. Gồm thông tin cung cấp 365 dẫn chứng bao trọn mọi lĩnh vực, dễ dàng vận dụng vào bài viết, đa dạng và
Kỹ năng viết bài văn nghị luận xã hội Kể từ năm 20222-2023, chúng ta đã chính thức áp dụng bộ sách giáo khoa mới vào chương trình dạy học các cấp. Việc tiếp cận
Giáo trình Hoá học Vô cơ này đã được viết và giảng dạy từ những năm 50 của thế kỷ trước cho sinh viên khoa Hoá học trường Đại học Tổng hợp Hà Nội trước
[ TSA 2025 ] Sách Đánh giá tư duy Bách Khoa HN Tổng ôn phần tư duy khoa học - môn Sinh Học - Hệ thống kiến thức đầy đủ theo chương trình Sách giáo
“Đầu tư”, tuy gói gọn trong hai từ nhưng đó là câu chuyện kéo dài cả một đời người. Cùng với sự phát triển mạnh mẽ của thị trường chứng khoán Việt Nam thể hiện
Làm văn là một phần quan trọng trong môn học Ngữ Văn , làm văn có tính chất quyết định đánh giá kết quả học tập môn Ngữ Văn . Cuốn sách được biên soạn
Sách Tổng Ôn Vật Lí Tập 1 - Dành cho 2K7 1. Nội dung sách: Sách được viết dựa trên chương trình SGK mới với hơn 2000 câu hỏi bài tập 2. Đối tượng sử
Sinh học lớp 12 chương trình mới: Combo Tổng ôn sinh học ôn thi thpt quốc gia đgnl Moonbook - Hệ thống kiến thức và video bài giảng theo chương trình sách giáo khoa mới
Đỉnh cao của lãnh đạo là lãnh đạo chính bản thân mình", đây là quan điểm được TS Tô Nhật đúc rút. Cuốn sách được tác giả chia làm 2 phần, phần 1: Rèn luyện
OKRs – bí mật của tăng trưởng lấy trọng tâm là phương pháp OKRs (Mục tiêu – Kết quả then chốt) và truyền tải sinh động phương pháp thực hiện cũng như tình huống áp
Giải Mã Ngành Công Nghiệp Âm Nhạc ------------ Bạn có biết rằng: - Phần lớn các thỏa thuận thậm chí không yêu cầu công ty thu âm thực hiện một bản ghi âm, huống
Giải Mã Ngành Công Nghiệp Âm Nhạc ------------ Bạn có biết rằng: - Phần lớn các thỏa thuận thậm chí không yêu cầu công ty thu âm thực hiện một bản ghi âm, huống
Trí tuệ Do Thái là một cuốn sách tư duy đầy tham vọng trong việc nâng cao khả năng tự học tập, ghi nhớ và phân tích - những điều đã khiến người Do Thái
Chiến Thuật Giải Đề Đạt Điểm 10 Môn Tiếng Anh Kì Thi Trung Học Phổ Thông Quốc Gia Chiến thuật giải đề đạt điểm 10 môn tiếng Anh – Kì thi THPT QG là cuốn sách
Sách P.H.A.O Lịch sử Ôn luyện thi tốt nghiệp THPT, ĐGNL Biến việc học thành một cuộc phiêu lưu thú vị Bạn đang tìm kiếm một giải pháp nhớ nhanh lí thuyết, giúp bạn
- Bộ sách do đội ngũ tác giả bao gồm các chuyên gia, giảng viên Đại học, giáo viên THPT Chuyên – những người có kinh nghiệm, hiểu biết về kì thi và đã trực
Câu Hỏi Trắc Nghiệm Chuyên Đề Điền Từ Vào Đoạn Văn Tiếng Anh Cuốn sách Câu Hỏi Trắc Nghiệm Chuyên Đề Điền Từ Vào Đoạn Văn Tiếng Anh mang đến cho quý thầy cô giáo
MÔ TẢ SẢN PHẨM 1 Nội Dung : Ngôn ngữ là một trong những công cụ quan trọng giúp chúng ta giao tiếp. Và ngôn ngữ nào cũng vậy, từ ngữ, ý tứ, cùng với
SÁCH ĐỘT PHÁ TƯ DUY KÌ THI TỐT NGHIỆP THPT MÔN ĐỊA LÍ Theo cấu trúc định hướng thi mới năm 2025 của BGD Với cấu trúc đề thi mới, các dạng câu hỏi mới
Sách lý thuyết trọng tâm ôn thi THPT luyện thi đánh giá năng lực môn vật lý - Moonbook 1. Nội Dung : Trọng tâm lí thuyết tốt nghiệp phổ thông môn Vật lí”. Đúng
Nội dung gồm có: Phần thứ nhất: Câu hỏi và bài tập Chương 1: Đại cương hoá học hữu cơ Chương 2: Hidrocacbon no Chương 3: Hidrocacbon không no Chương 4: Hidrocacbon Thơm Chương 5:
Sách - Nâng cao Văn phong Nghị luận xã hội - Cô Trần Thùy Dương Tác giả Trần Thùy Dương Nhà xuất bản NXB Đại Học Quốc Gia Hà Nội Đơn vị phát hành NXB
Sách - Rèn kỹ năng xử lí và Chuyên sâu luyện đề môn Ngữ văn (Thi tốt nghiệp THPT chương trình GDPT 2018) Tác giả Trần Thùy Dương Nhà xuất bản NXB Đại Học Quốc
️ NỘI DUNG Cuốn sách được chia thành 3 phần: – Phần 1: giới thiệu chung về collocations và idioms, cũng như hệ thống một sốcollocations và idioms thường gặp. – Phần 2: hướng dẫn
Combo 2 cuốn Tổng Ôn Sinh Học Lớp 12 - Dành cho 2K7 1. Nội dung sách: + Nội dung bám sát chương trình GDPT năm 2018 dùng chung cho tất cả các bộ sách
Tổng Ôn Hoá Học Lớp 12 Tập 1 - Dành cho 2K7 1. Nội dung sách: Sách được viết dựa trên chương trình SGK mới với hơn 2000 câu hỏi bài tập 2. Đối tượng
I. Dẫn Chứng Nghị Luận Xã Hội : Nội dung sách Một bài văn Nghị luận xã hội nếu thiếu dẫn chứng thì mọi lý lẽ các bạn đưa ra đều trở nên vô nghĩa,
Tổng Ôn Hoá Học Lớp 12 Tập 1 - Dành cho 2K7 1. Nội dung sách: Sách được viết dựa trên chương trình SGK mới với hơn 2000 câu hỏi bài tập 2. Đối tượng
- Bộ sách do đội ngũ tác giả bao gồm các chuyên gia, giảng viên Đại học, giáo viên THPT Chuyên – những người có kinh nghiệm, hiểu biết về kì thi và đã trực
1. Tổng Ôn Toán Học - Tập 1 (Theo Chương Trình SGK Mới) - Hệ thống kiến thức và video bài giảng theo chương trình sách giáo khoa mới - Đầy đủ các dạng
Vật lý 12 Chương trình SGK mới: Tổng ôn vật lý ôn thi thpt quốc gia 2025, đánh giá năng lực Moonbook - Hệ thống kiến thức đầy đủ theo chương trình SGK mới -
Hoá học 12 Chương trình mới : Tổng ôn hoá học ôn thi thpt quốc gia 2026, dánh giá năng lực Moonbook - Hệ thống kiến thức và video bài giảng theo chương trình
Sách Bộ đề đánh giá năng lực Tiếng anh, ôn thi ĐGNL Hà Nội, HCM, Sư phạm HN 2025 - Moonbook Nội Dung : Kì thi Đánh giá Năng lực (ĐGNL) do các trường đại
P.H.A.O Ngữ Văn – Ôn luyện thi tốt nghiệp THPT, ĐGNL Biến việc học Ngữ văn thành một hành trình khám phá sắc màu cảm xúc và tư duy Bạn đang tìm kiếm một cuốn
Bộ 2 cuốn sách P.H.A.O Lịch sử Ôn luyện thi tốt nghiệp THPT, ĐGNL và Đột phá tư duy kì thi tốt nghiệp THPT môn Lịch sử Biến việc học thành một cuộc phiêu lưu
Sách Tổng ôn ngữ pháp Tiếng anh Cô Trang Anh là cuốn sách: - Đầy đủ nhất với 30 chuyên đề ngữ pháp Tiếng anh thông dụng nhất. - Dày 605 trang gần 7000 bài
Sách Tổng ôn từ vựng tiếng anh cô Trang Anh Moonbook 1. Nội Dung : Xét thấy theo chương trình sách giáo khoa mới với form đề thi mới đặc biệt chú trọng vào từ
Sách - Dẫn Chứng Nghị Luận Xã Hội (Cô Trần Thùy Dương) - Tác giả: Cô Trần Thùy Dương - Nhà xuất bản: NXB Đại Học Quốc Gia Hà Nội - Số Trang: 780 trang
MÔ TẢ SẢN PHẨM CAM KẾT VÀ BẢO HÀNH - Đảm bảo và cam kết sản phẩm đúng với mô tả và hình ảnh của shop. - Đổi trả sản phẩm miễn phí trong vòng
Sách - Luyện xử lý đề Bài văn nghị luận xã hội - Tập 1 (Cô Trần Thùy Dương) Tác giả: Trần Thùy Dương Nhà xuất bản: NXB Đại Học Quốc Gia Hà Nội Đơn
Sách - Rèn kỹ năng xử lí và Chuyên sâu Luyện đề Môn Ngữ văn - Thi Tốt nghiệp THPT Chương trình GDPT 2018 (Cô Trần Thùy Dương) Tác giả: Trần Thùy Dương Nhà xuất
Combo 2 Quyển Tổng Ôn Tập Hóa Hữu Cơ Và Tổng Ôn Tập Hóa Đại Cương Và Phi Kim 1.Tổng Ôn Tập Hóa Hữu Cơ Những năm qua Bộ Giáo dục và Đào
Phương Pháp Trắc Nghiệm - Giải Chi Tiết Các Chuyên Đề Quan Trọng Trong Hoá Học Trong những năm gần đây trong đề thi THPT Quốc gia môn Hóa học xuất hiện khá nhiều các
Tổng Ôn Tập Các Chuyên Đề Tiếng Anh của tác giả Lưu Hoằng Trí được biên soạn theo 6 chuyên đề: - Chuyên đề 1: Ngữ âm - Chuyên đề 2: Từ vựng - Chuyên đề
Kỳ thi THPT quốc gia bộ môn Vật Lí ngày càng khó hơn và nâng cao hơn với kiến thức rộng hơn bao gồm cả lớp 10-11-12. Chính vì lý do đó nhiều học sinh
Tuyển Tập Olympic Toán Học Tại Các Nước Đông Âu Cuốn sách còn giới thiệu thêm một số bài toán trên các tạp chí như tạp chí Komal, một số cuộc thi liên quốc gia như
MÔ TẢ SẢN PHẨM - WHAT MỘT SỐ THÔNG SỐ SẢN PHẨM Thông số Giá trị Tên sản phẩm CC Thần tốc luyện đề 2022 (Chinh phục kì thi tốt nghiệp THPT và thi vào
Tốc Chiến Luyện Đề Đánh Giá Tư Duy (Theo cấu trúc đề thi của Đại học Bách Khoa Hà Nội) 1. Định nghĩa Là cuốn sách giúp học sinh hệ thống kiến thức, kỹ
Thầy K là một thầy giáo dạy violin gốc Ukraina. Thầy đã trải qua một cuộc đời tuổi trẻ sóng gió ở đất nước của thầy với những sự khốc liệt của chiến tranh và
10 Trọng Điểm Luyện Thi THPT Quốc Gia Môn Toán là một trong những cuốn mới nhất của thạc sĩ Lê Hoành Phò được biên soạn theo cấu trúc mới nhất, bám sát đề thi Đại Học
Năng lượng ngày mới: Nước Với Năng lượng ngày mới: Nước, các bạn nhỏ sẽ được tìm hiểu tất tần tật về Nước, tại sao ta cần uống nước, uống bao nhiêu nước mỗi ngày
Năng Lượng Ngày Mới: Thức Ăn Với Năng Lượng Ngày Mới: Thức Ăn, các bạn nhỏ sẽ được tìm hiểu tất tần tật về thức ăn, quá trình hấp thụ và tiêu hóa thức ăn,
Năng Lượng Ngày Mới: Giấc Ngủ Năng lượng ngày mới là bộ sách phù hợp cho các bạn nhỏ từ 4 tuổi. Ở lứa tuổi này, hẳn các bố mẹ đều đau đầu với việc
Nội dung sách bám sát chương trình THPT, nhất là năm lớp 12. Đây thực sự là cuốn sách bổ ích cho các em học sinh trong quá trình học tập cũng như ôn
The Phoenix Project: Dự Án Phượng Hoàng (*** Sách Bản Quyền ***) Công Ty Phát Hành: Alpha Books — Câu chuyện về DevOps và chìa khóa thành công cho mọi doanh nghiệp công nghệ — ------------
22 Đề Thi Trắc Nghiệm Môn Địa Lí Vào tháng 10/2016 Bộ Giáo dục và Đào Tạo đã công bố đề thi minh họa cho kì thi THPT Quốc gia 2017. Và môn Địa
Tổng Ôn Hoá Học Lớp 12 Tập 1 - Dành cho 2K7 1. Nội dung sách: Sách được viết dựa trên chương trình SGK mới với hơn 2000 câu hỏi bài tập 2. Đối tượng
👁️ 174 | ⌚2025-10-02 03:19:47.426
Hoán vị - Chỉnh hợp - Tổ hợp (Giải thích bản chất) | Vật Lý Chill
Tập xác định & đạo hàm của hàm số mũ | toán học khai phóng
Toán lớp 11 cần lưu ý những trọng tâm nào?
Tuyệt chiêu giải Phương trình mũ bằng phương pháp đánh giá cực hay | Bạn nên biết
Một câu xác suất cực kỳ hay thi - Toán 11 #shorts
Phân biệt ĐẠI SỐ và GIẢI TÍCH trong toán học

Hoán vị - Chỉnh hợp - Tổ hợp (Giải thích bản chất) | Vật Lý Chill
Tập xác định & đạo hàm của hàm số mũ | toán học khai phóng
Toán lớp 11 cần lưu ý những trọng tâm nào?
Tuyệt chiêu giải Phương trình mũ bằng phương pháp đánh giá cực hay | Bạn nên biết
Một câu xác suất cực kỳ hay thi - Toán 11 #shorts
Phân biệt ĐẠI SỐ và GIẢI TÍCH trong toán học

+ CHI TIẾT - 100% da bò tự nhiên - Chất liệu: Da bò Pebbled mềm mại - Màu da: Vàng cam - Kiểu dáng: Đứng – Gập 2 - Khóa kéo: Không - Kích
4P's có nghĩa "For Peace" - cho Hòa Bình tràn ngập trên toàn thế giới. Tham vọng ở Pizza 4P's không chỉ đơn giản là "Một nhà hàng Pizza tuyệt vời" mà chúng tôi có
Le Monde Steak là hệ thống Bít Tết theo phong cách thành thị Pháp đầu tiên tại Việt Nam, nơi thực khách tự do trải nghiệm những món ăn mang hương vị Pháp đầy lôi
Sôi nổi, phóng khoáng, vui nhộn chính là tinh thần mà Yakimono – Quán thịt nướng Nhật Bản muốn mang đến cho bạn. Trái ngược với khung cảnh yên bình bên ngoài, chỉ cần đẩy
Hoa Yêu Thương là bông hoa được ghép từ nhiều trái tim với mong muốn kêu gọi mọi người hãy chia sẻ yêu thương nhiều hơn. Cuộc sống sẽ tốt hơn rất nhiều nếu chúng
Gyu-Kaku nhập thịt tươi và cắt từng lát một tại nhà hàng để đảm bảo độ tươi ngon. Nước tương và miso truyền thống Nhật Bản chúng tôi dùng cho sốt và ướp thịt kĩ
Hạn sử dụng: 2025-12-31 00:00:00 Potico là điện hoa chuyên cung cấp bó hoa yêu thương và quà tặng ý nghĩa hàng đầu tại Việt Nam. Potico luôn miễn phí giao hàng trong khu vực
Nếu bạn là người Hàn Quốc sinh sống hoặc làm việc xa nhà, bạn nên ghé qua Butoomac để cảm nhận hương vị quê hương. Đây là những nhà hàng rất nổi tiếng ở Hà
Ra mắt thương hiệu tại Hà Nội với cơ sở đầu tiên Hàng Bông vào năm 2016, hiện nay, Don Chicken đã có 14 cửa hàng tại Hà Nội, Quảng Ninh, Bắc Ninh, Thanh Hóa
MIYEN - Nét chấm phá Nhật Bản tinh tế đầy duy mỹ. Miyen Japanese Fusion Cuisine mong muốn đem đến cho Quý Thực khách trải nghiệm bầu không khí giao thời của một đất nước
Với phương châm: “Nơi ẩm thực Hồng Kông được tôn vinh và chăm chút. Chúng tôi mang đến quý khách sự trải nghiệm tuyệt đối từ vị giác đến văn hóa ẩm thực”. Baoz Dimsum
A Mà Kitchen - Stay Vietnam, Taste HongKong Trở về Hồng Kông 40 năm trước, A Mà - Bà Nội của một gia đình Trung Hoa là người luôn tận tụy chăm lo từng bữa
Thương hiệu bánh donut thơm ngon, và những ly cà phê đậm đà, mang đến không gian thân thiện để kết nối mọi người. CRISPY DONUTS luôn cập nhật hương vị mới, đảm bảo mỗi
Đến Hệ thống tiNiWorld, các bậc phụ huynh hoàn toàn có thể yên tâm vì con yêu của mình được bảo vệ an toàn nhất. Tất cả các thiết bị đồ chơi tại đây đều
BORNGA VIỆT NAM: Là chi nhánh thuộc thương hiệu và chuỗi hệ thống nhà hàng nổi tiếng toàn cầu Bornga, Bornga Việt Nam hân hạnh phục vụ những món ăn mang đậm nét truyền thống
Otoké Chicken tự hào là thương hiệu gà rán của Việt Nam - được đầu tư và quản lý bởi Quỹ đầu tư VI (VIGroup) – một công ty quản lý quỹ chuyên nghiệp, chuyên
Với sự ra đời của cửa hàng đầu tiên tại Việt Nam vào năm 2007, chuỗi cửa hàng TOUS les JOURS khẳng định vị trí dẫn đầu trong phân khúc cao cấp bánh và cà
Bạn đang lên kế hoạch cho một bữa tiệc ấm cúng, một buổi hẹn hò hay một buổi liên hoan cuối năm? Đừng bỏ lỡ voucher tiền mặt từ Ssamjang - Nướng & Cuốn Chợ
Shang Chi - Taiwanese Rotary Hotpot là con tàu trải nghiệm và khám phá thiên đường lẩu Đài Loan đầy màu sắc và đa dạng. Shang Chi cũng là sự giao thoa giữa yếu tố
Không gian rộng rãi và sạch sẽ, nhân viên thân thiện, nhiệt tình chắc chắn là điểm đến lý tưởng cho một cuộc hẹn tại Spicy Box. Đến với Spicy Box bạn sẽ được hóa